KČT Lysá hora Ostravice
Domů
Aktuality
Vycházky
Výstupy
Kontakty
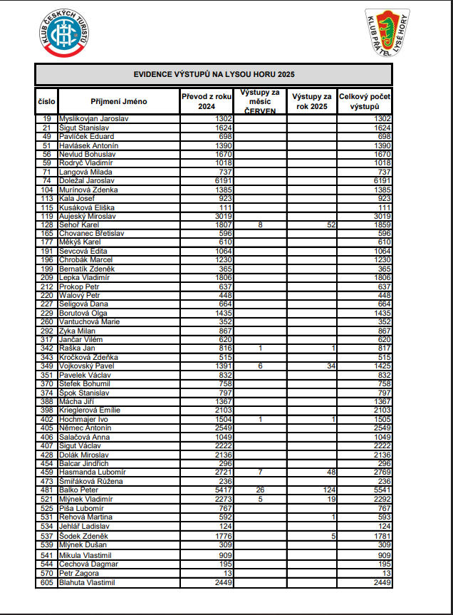
ČERVEN 2025
18. 7. 2025
Soupis výstupů na Lysou horu za ČERVEN 2025