KČT Lysá hora Ostravice
Domů
Aktuality
Vycházky
Výstupy
Kontakty
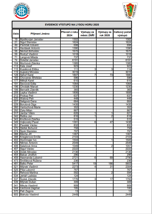
ZÁŘÍ 2025
30. 10. 2025
Soupis výstupů na Lysou horu za ZÁŘÍ 2025