KČT Lysá hora Ostravice
Domů
Aktuality
Vycházky
Výstupy
Kontakty
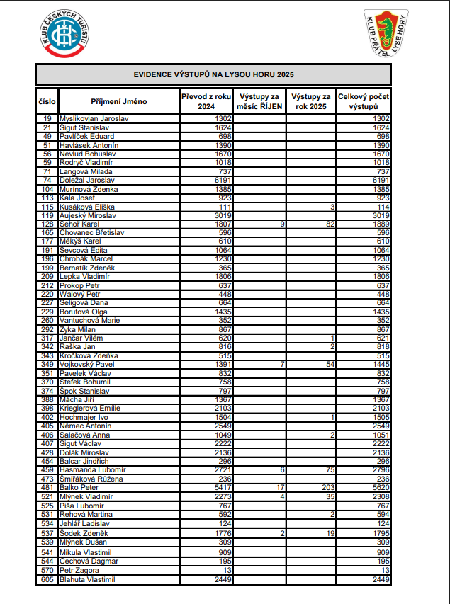
ŘÍJEN 2025
19. 11. 2025
Soupis výstupů na Lysou horu za ŘÍJEN 2025