KČT Lysá hora Ostravice
Domů
Aktuality
Vycházky
Výstupy
Kontakty
BŘEZEN 2026
8. 4. 2026
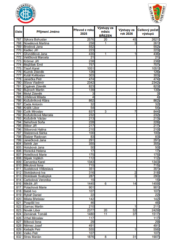
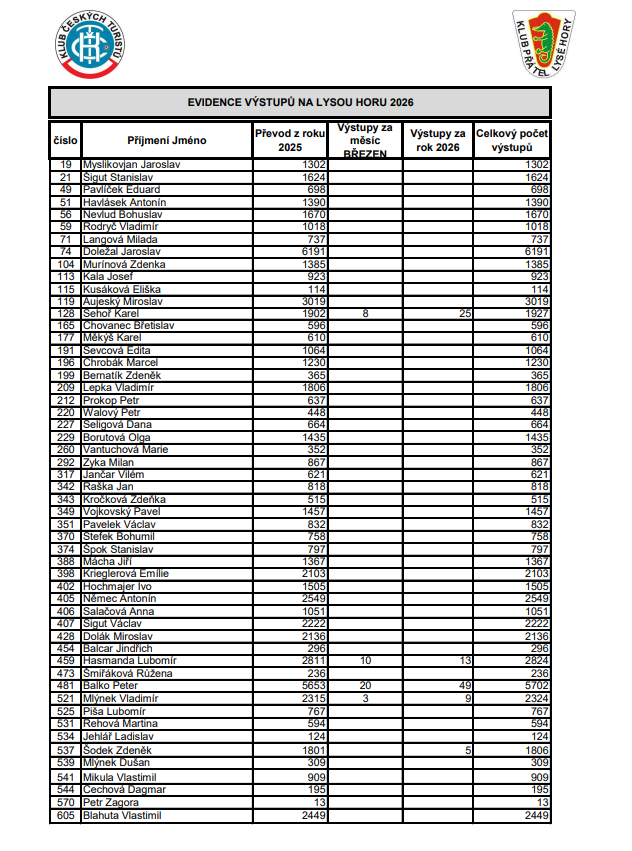
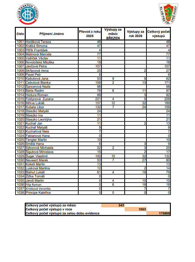
Soupis výstupů na Lysou horu za BŘEZEN 2026